Random variables are not like the decision variables which we have mentioned in LP or MP problems.
Random variable is a variable who’s values are not known in advance, but it occurs with respect to a distibution, random variables do not take a certain value, there is some uncertainty, therefore the value of this random variable is not certain, and in general it follows a probability distribution.
In general there are two types of random variables:
There are countable amount of random variables.
Expl.
Roll a 6 face die twice, the X( sum = 6) is countable.

The number of outputs of random variable can take is infinite.
Expl.
X(amount of rain (ml)) in Istanbul in Nov.30. There are infinite possible values of X, so X is continous R.V.


Random variable is the most fundamental key to the modern probability[^1] and uncertainty theory.

Note: What is the total probability of getting some event A?
The total probability of getting A is the sum (probability of selecting each event B and then selecting A from each B)
First do what then do what? Guessing

Note: If known that B Happend, then what is the probability that we selected A?
The probability of A given B is true equalis the ratio of selecting A then getting B over total probabilities of getting B.
Something already happend, maybe because of what? Reasioning

Permutations: Number of ways of ordering n elements:
Number of subsets of {1,2,.....n}:
Number of k-element subsets of a given n-element set

PMF: Probability Mass Function
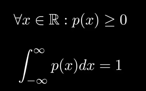
PDF: Probability Density Function
